If you thought, doesn’t Lakewood have a strategic growth initiative in place, you are not alone! Yes, the voters did pass that in 2019. However, in 2023, the Lakewood City Council voted to sunset it by 2026, as the state legislature passed HB -23-1255 which made having a strategic growth initiative illegal.
In 2024, the state legislature passed HB 24-1313 which mandated high density housing with no parking minimums on the transit corridors. However, Lakewood was already meeting this requirement.

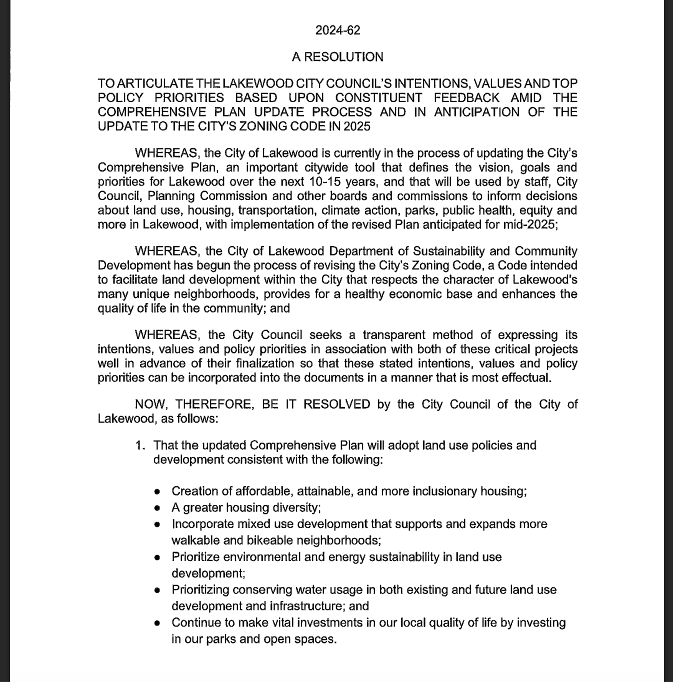
In December of 2024, the Lakewood City council passed Resolution 2024-62 (Strategic Housing Plan) based on a survey of 500 residents. Shortly thereafter the Comprehensive Plan was updated. In February 2025, they began talking about re-zoning the entire city.
City Council split the re-zoning into 4 ordinances that were passed between August 28, 2025 and October 13, 2025. These ordinances go farther than the state mandates. Concerned residents were paying attention and decided to run 4 referendums to force City Council to send the ordinances to the voters so the voters could have a say on whether or not we want to allow the entire city to be re-zoned and the citizen voices to be silenced going forward.




